Home
Video
Posters
Media Coverage
Brochures
About Me
Contact
Home
Video
Posters
Media Coverage
Brochures
About Me
Contact
Ken Christian
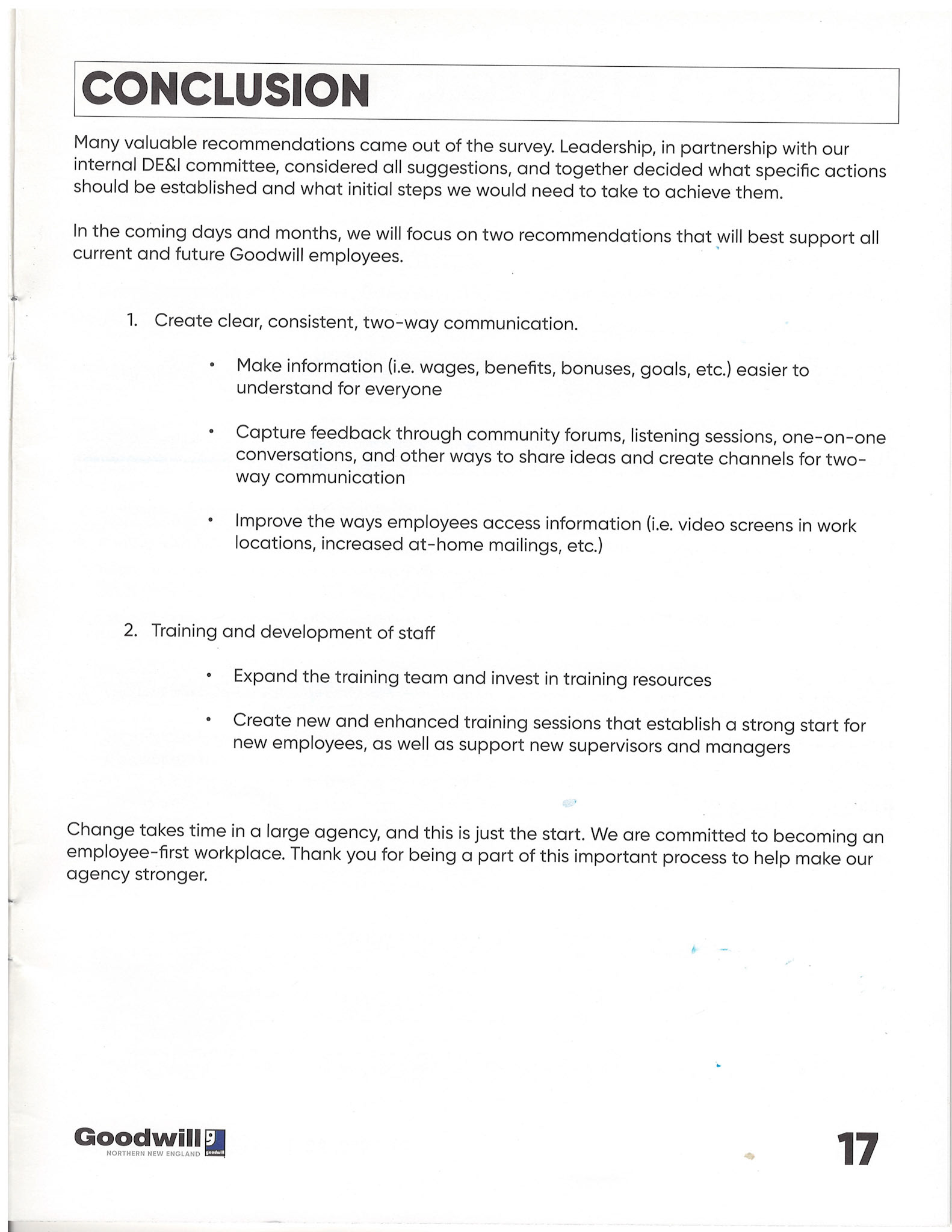
Goodwill NNE - Diversity, Equity & Inclusion 2022
You may also like
East Pond Newsletter
2025
Brochure - Employee Handbook
2025
Goodwill NNE Annual Report - 2022
2025
Goodwill NNE 2019 Annual Report
2025
↑
Back to Top